اتصال عرضی

اتصال عرضی

فرهنگستان زبان و ادب

{cross link} [شیمی، مهندسی بسپار] شاخه ای که به طور اشتراکی یک زنجیر بسپار را به زنجیر دیگر متصل می کند

دانشنامه عمومی

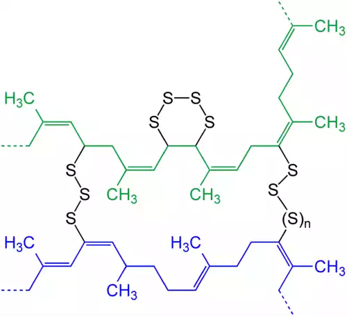
به شاخه ای که یک زنجیر بسپار را به صورت اشتراکی به یک زنجیر بسپار دیگر متصل می کند اتصال عرضی می گویند.
اتصالات عرضی ممکن است از نوع پیوند کووالانسی یا پیوند یونی باشند. زنجیرهای بسپار ممکن است مصنوعی یا طبیعی ( مانند پروتئین ها ) باشند.

دانشنامه آزاد فارسی

اِتِّصال عَرْضی (cross-linking)
در شیمی، اتصال جانبی دو یا چند زنجیر طویل مولکولی در بسپار۱ها (پلیمرها). اتصالات عرضی در بسپارها سبب بالا رفتن نقطۀ ذوب و استحکام می شوند. برخی از بسپارهای دارای اتصالات عرضی عبارت اند از باکلیت۲ و لاستیک۳ ولکانیزه۴ (گوگردی).

ویکی واژه

شاخه‏ای که به‌طور اشتراکی یک زنجیر بسپار را به زنجیر دیگر متصل می‌کند.
فال گیر
بیا فالت رو بگیرم!!! بزن بریم
فال ای چینگ فال ای چینگ فال سنجش فال سنجش فال ماهجونگ فال ماهجونگ فال نوستراداموس فال نوستراداموس