آمیلوپکتین

دانشنامه عمومی

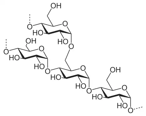
آمیلوپکتین. آمیلوپکتین یک پلیمر با شاخه های بسیار گلوکز می باشد که در گیاهان یافت می شود. آمیلوپکتین به همراه آمیلوز از واحدهای سازنده نشاسته است. آمیلوپکتین نامحلول در آب است. واحدهای گلوکز در آمیلوپکتین به صورت پیوند آلفا ۱ به ۴ در ستون اصلی و به صورت آلفا ۱ به ۶ در شاخه های فرعی به هم متصل شده اند. این شاخه های فرعی به طور تقریبی هر ۲۴ تا ۳۰ گلوگز یک بار دیده می شوند. هومولوگ آمیلوپکتین در حیوانات گلیکوژن می باشد که دارای ساختاری مشابه است با این تفاوت که داری شاخه هایی فراوان تر و کوتاهتر می باشد که به طور تقریبی هر ۸ تا ۱۲ گلوکز یک بار رخ می دهند.

ویکی واژه

(شیمی): بخش نامحلول نشاسته که در مجاورت یُد قرمز میشود. نشاستدانه.

دین یهودیت یعنی چه؟
دین یهودیت یعنی چه؟
هورنی یعنی چه؟
هورنی یعنی چه؟
فال امروز
فال امروز